Новости Макеевки
ДОНЕЦК, 19 ноя - РИА Новости. Временные графики отключения электроэнергии для равномерного распределения и дальнейшего восстановления электроснабжения были введены в Макеевке в ДНР, сообщила администрация городского округа в своем Telegram-канале. "По...
В центре Донецка после ночной атаки ВСУ восстановлено электроснабжение.Об этом сообщает РИА Новости.По данным агентства, в Ворошиловском районе города появилось внутридомовое наружное освещение.Ранее сообщалось, что Зуевская и Старобешевская ТЭС...
Временные отключения электроэнергии введены во втором по численности населения городе Донецкой народной республики (ДНР) — Макеевке. Об этом рассказали в пресс-службе муниципалитета, пишет ТАСС.Решение принято из-за атак дронов Вооруженных сил Украины...
ГлавнаяОбществоДОНЕЦК, 18 ноября. /ТАСС/. Временные отключения электроэнергии введены во втором по численности населения городе ДНР - Макеевке. Решение принято из-за атак ВСУ на объекты энергетики республики, сообщили в...
Во исполнение поручения Главы ДНР Дениса Пушилина, 17 ноября начальник Горняцкого района тепловых сетей Филиала «Макеевкатеплосеть» ГУП ДНР «Донбасстеплоэнерго» Юрий Дергачёв принял участие во встрече с жителями Горняцкого внутригородского района...
По информации Макеевского РЭС, в связи с высокой нагрузкой на энергосистему и нестабильной ситуацией с электроснабжением, в целях предотвращения полномасштабной аварии и равномерного распределения ресурсов, было принято вынужденное решение о...
В соответствии с Указом Главы ДНР Председатель Правительства Андрей Чертков принял руководство ликвидацией чрезвычайной ситуации регионального характераВице-премьер Лариса Толстыкина рассказала:о мероприятии, направленном на поддержку будущих мам...
Объектам энергетики нанесен значительный урон.Режим ЧС введи в ДНР после атаки украинских беспилотников на Зуевскую и Старобешевскую ТЭС. Соответствующее решение принял глава республики Денис Пушилин.
«Признать обстановку, сложившуюся на...
Сегодня провела встречу с трудовым коллективом «Макеевского многопрофильного техникума».В ходе встречи поделилась актуальной информацией о положении дел в Республике и ходе восстановительных работ в регионе.Особое внимание было уделено обеспечению...
Донецк, 18 ноя — ДАН. Глава ДНР Денис Пушилин подписал указ о введении режима чрезвычайной ситуации регионального характера на территории Республики. Решение принято в связи с массированной атакой беспилотных летательных аппаратов на...
Кировский район:— пос. Путь Ильича, пос. СРГ - отключены 21 ТП, всего 4300 абонентов; Советский район:— отключены 10 ТП, 3 абонентских подстанции, всего 874 абонента Червоногвардейский район:— отключены 99 ТП и...
Последние месяцы мы наконец-то начали бить по тому, что действительно больно: по энергосистеме противника. Да, мы показали, что умеем. Громко, точно, с результатом. Но каждый раз останавливаемся на полпути. Выбиваем пару блоков, рвём...
«Пульс региона» — ежедневная подборка сообщений о ДНР, поступающих со всех концов России. Объединяем информацию федеральных и региональных органов власти, министерств и ведомств, а также других самых разных источников в большой...
В Сети появилось страшное видео из Макеевки, на котором группа подростков жестоко избивает девочку-инвалида. Кадры, снятые самими агрессорами, вызвали шквал возмущения в соцсетях. Пользователи в недоумении задаются вопросом: "Откуда такая жестокость?"...
Студенты Макеевского техникума промышленных технологий имени Бачурина посетили Ясиновский коксохимический завод в рамках федерального проекта «Крепкая семья». Экскурсию организовал для них Макеевский городской центр занятости. Об этом сообщила...
18 ноября провела мониторинг организации подвоза воды в Советском внутригородском районе. Посетила следующие социальные объекты:ГБУСО "Центр социального обслуживания населения Советского района города Макеевки";ГБОУ «Средняя школа №16 г.о. Макеевка»...
Жестокая драка произошла в Ханженково, на жертву напали толпой. Предварительно, незадолго до этого ей делали трепанацию черепа из-за приступов эпилепсии.Подписывайся на Mash на Донбассе
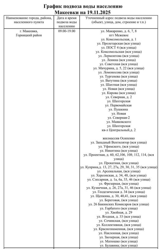
Завтра, 19 ноября, в Макеевке будет организован подвоз воды для жителей, в дома которых не поступила вода в установленный графиком день.
Донецк, 18 ноя — ДАН. Почти 84% школ и более 91% детских садов продолжили работу в обычном формате на фоне перебоев со светом после атак ВСУ. Об этом сегодня Донецкому агентству новостей сообщили в пресс-службе Министерства образования и науки...
по уборке, сбору мусора и листвы по ул. Шевченко, Ленина, Московской, Репина, Кирова, 50-летия СССР, по Аллее Победы, в пгт Грузско-Зорянка, Межевое; по замене светильников по ул. Академической; по чистке и ремонту ливнёвой канализации по ул. Ленина...



















